光致变色的多铌氧酸盐:光诱导“D-f-A”电子转移机制
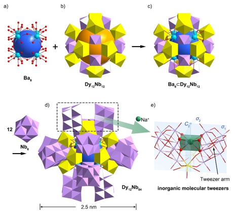
多金属氧酸盐(POMs,多酸)通常是指基于V, Nb, Ta, Mo和W的最高价态金属离子和氧形成的金属氧合团簇阴离子。多酸的一个重要的性质是,其部分金属离子常常能够被还原而形成混合价态物种,称为“杂多蓝”(HPBs)。利用化学还原、光照射和电还原等策略,多酸化学家已经在空气中实现了多种具有长寿命的VIV/VV、MoV/MoVI和WV/WV混合价态的HPBs。这些HPBs具有优异氧化还原活性,在催化、抗病毒、储能、分子电子学、分子磁学、...
2023.04.28